评述
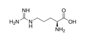
中文版名字大全:精氨酸
中文拼音名:Jing‘ansuan
英文版名稱:Arginine
物理化学品牌:L-2-氨基-5-胍基戊酸
CAS号:74-79-3
无机化学原子核式:C6H14N4O2
原子核量:174.20
型式式:

遗传性状:本品为黄色成果或成果性粉末状,可以说无臭,有特俗味。本品在水里溶解,在酒精中可以说不溶,在乙醚中可以说不溶;在稀稀盐酸中溶解。
完成原则:中国货品监督检查安全监督局原则YBH16362004,按照《炎黄老百姓中华人民药典》(今年 版)。
签发文号:国药准字H20045457。
祖国中药饮片督察菅理局中药饮片审评心中(CDE)托运号:Y20190005213。
存放:应遮光、密闭存放。
有效地期:两年左右。
保障体系认可:在我国GMP、欧美PMDA验证、欧美FSMA验证、ISO 9001、ISO 14001、ISO 45001。
用心价值量,胜过美景,从规范到环保定制家具化。
已达成热学遗传性状(目数、松密度计算、外流性)一副一专属密码来样加工。
包装盒尺寸:(7kg/15L铝桶*2桶)/纸板箱、(10kg/30L铝桶*1桶)/飞机盒
标准细度:60目、100目、150目(可开发)
护肤品专享助力:曹凯东 15127119722(同微信朋友圈)
当“卷”为制度化,敬请药物制剂企业的、研制构造全方面、多块化加盟,优劣势互替、上下齐心破圈。从“生产商”到“價值共建和谐社会伙伴们”的争做者。